アジマティクス

ここをこうするとおもしろい

2016-09-01から1ヶ月間の記事一覧

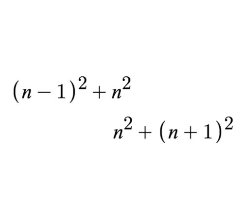
(n-1)²+n²とn²+(n+1)²がともに素数のときnは5の倍数

心の健康のために定期的に整数問題を解いておきましょう。 こないだは京都大学の入試問題を「あまりによって場合分けする」ことで解きました(京大理系数学の入試問題(2016)が面白いらしい - アジマティクス)。たのしかったです。 今回の問題はこれです。ツ…